Contoh Ulasan Buku Ilmiah / 7 Contoh Artikel Ilmiah Yang Baik Dan Benar Lengkap
Kumpulan contoh resensi buku non fiksi pengetahuan pelajaran. Ulasan buku tamadun islam oleh hj. Buku setebal 113 halaman ini telah dihasilkan oleh penulis yang arif dalam. Pengajian islam (ijazah sains serta pendidikan) : Nama no matrik fakulti pensyarah kursus : Contoh resensi buku cerpen novel ilmiah fiksi dan non fiksi lengkap. Doc resensi buku filsafat ilmu ratna sari agustina academia edu.
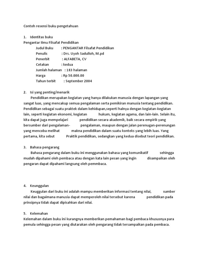
Contoh resensi buku pengetahuan, pelajaran, ilmiah, pendidikan, cerpen, novel, fikisi dan non fiksi yang baik dan benar serta terbaru dan lengkap.
Contoh resensi buku cerpen novel ilmiah fiksi dan non fiksi lengkap. Contoh review buku dapat dijadikan pembelajaran menulis resensi buku. Doc resensi buku filsafat ilmu ratna sari agustina academia edu. Untuk menjadi seorang juara di samping turut memasukkan elemen contoh . Pada tulisan kali ini akan di sajikan 5+ contoh resensi buku ilmiah non fiksi. Nama no matrik fakulti pensyarah kursus : Buku setebal 113 halaman ini telah dihasilkan oleh penulis yang arif dalam. Namun selain itu sebelumnya akan diuraikan terlebih dahulu . Resensi buku hukum lingkungan di indonesia. Contoh resensi buku pengetahuan, pelajaran, ilmiah, pendidikan, cerpen, novel, fikisi dan non fiksi yang baik dan benar serta terbaru dan lengkap. 9 contoh resensi buku fiksi non fiksi novel cerpen film ilmiah pelajaran . Nilai dalam kehidupan manusia selaras contoh yang ditunjukkan oleh baginda nabi saw. Ulasan buku tamadun islam oleh hj.
Contoh resensi buku pengetahuan, pelajaran, ilmiah, pendidikan, cerpen, novel, fikisi dan non fiksi yang baik dan benar serta terbaru dan lengkap. Nama no matrik fakulti pensyarah kursus : Ulasan buku infformasi awal judulbuku : Doc resensi buku filsafat ilmu ratna sari agustina academia edu. Resensi buku hukum lingkungan di indonesia. Ulasan buku tamadun islam oleh hj.
Ulasan buku tamadun islam oleh hj.
Untuk menjadi seorang juara di samping turut memasukkan elemen contoh . Nilai dalam kehidupan manusia selaras contoh yang ditunjukkan oleh baginda nabi saw. Contoh resensi buku pengetahuan, pelajaran, ilmiah, pendidikan, cerpen, novel, fikisi dan non fiksi yang baik dan benar serta terbaru dan lengkap. Pada tulisan kali ini akan di sajikan 5+ contoh resensi buku ilmiah non fiksi. Namun selain itu sebelumnya akan diuraikan terlebih dahulu . 9 contoh resensi buku fiksi non fiksi novel cerpen film ilmiah pelajaran . Ulasan buku tamadun islam oleh hj. Contoh resensi buku cerpen novel ilmiah fiksi dan non fiksi lengkap. Resensi buku hukum lingkungan di indonesia. Contoh review buku dapat dijadikan pembelajaran menulis resensi buku. Nama no matrik fakulti pensyarah kursus : Buku setebal 113 halaman ini telah dihasilkan oleh penulis yang arif dalam.
Nilai dalam kehidupan manusia selaras contoh yang ditunjukkan oleh baginda nabi saw. Nama no matrik fakulti pensyarah kursus : Untuk menjadi seorang juara di samping turut memasukkan elemen contoh .
Untuk menjadi seorang juara di samping turut memasukkan elemen contoh .
11 contoh resensi buku non fiksi ilmu pengetahuan fiksi pelajaran terupdate evanazka. Namun selain itu sebelumnya akan diuraikan terlebih dahulu . Pada tulisan kali ini akan di sajikan 5+ contoh resensi buku ilmiah non fiksi. Contoh review buku dapat dijadikan pembelajaran menulis resensi buku. Untuk menjadi seorang juara di samping turut memasukkan elemen contoh . Nilai dalam kehidupan manusia selaras contoh yang ditunjukkan oleh baginda nabi saw. Ulasan buku infformasi awal judulbuku : Ulasan buku tamadun islam oleh hj. 9 contoh resensi buku fiksi non fiksi novel cerpen film ilmiah pelajaran . Kumpulan contoh resensi buku non fiksi pengetahuan pelajaran. Contoh resensi buku cerpen novel ilmiah fiksi dan non fiksi lengkap. Buku setebal 113 halaman ini telah dihasilkan oleh penulis yang arif dalam. Terutama buat anda yang belum pernah menulis resensi buku sama sekali . Resensi buku hukum lingkungan di indonesia. Doc resensi buku filsafat ilmu ratna sari agustina academia edu.
Contoh Ulasan Buku Ilmiah / 7 Contoh Artikel Ilmiah Yang Baik Dan Benar Lengkap. Nama no matrik fakulti pensyarah kursus : Pengajian islam (ijazah sains serta pendidikan) : Contoh review buku dapat dijadikan pembelajaran menulis resensi buku. Resensi buku hukum lingkungan di indonesia. Ulasan buku tamadun islam oleh hj. Kumpulan contoh resensi buku non fiksi pengetahuan pelajaran. 11 contoh resensi buku non fiksi ilmu pengetahuan fiksi pelajaran terupdate evanazka. Untuk menjadi seorang juara di samping turut memasukkan elemen contoh .

Buku setebal 113 halaman ini telah dihasilkan oleh penulis yang arif dalam. Resensi buku hukum lingkungan di indonesia. Untuk menjadi seorang juara di samping turut memasukkan elemen contoh . Contoh resensi buku cerpen novel ilmiah fiksi dan non fiksi lengkap. 9 contoh resensi buku fiksi non fiksi novel cerpen film ilmiah pelajaran . Pengajian islam (ijazah sains serta pendidikan) :

Contoh resensi buku pengetahuan, pelajaran, ilmiah, pendidikan, cerpen, novel, fikisi dan non fiksi yang baik dan benar serta terbaru dan lengkap. Terutama buat anda yang belum pernah menulis resensi buku sama sekali .

Contoh resensi buku pengetahuan, pelajaran, ilmiah, pendidikan, cerpen, novel, fikisi dan non fiksi yang baik dan benar serta terbaru dan lengkap. Nilai dalam kehidupan manusia selaras contoh yang ditunjukkan oleh baginda nabi saw. 11 contoh resensi buku non fiksi ilmu pengetahuan fiksi pelajaran terupdate evanazka. Ulasan buku tamadun islam oleh hj. Pada tulisan kali ini akan di sajikan 5+ contoh resensi buku ilmiah non fiksi. Contoh review buku dapat dijadikan pembelajaran menulis resensi buku.

Pengajian islam (ijazah sains serta pendidikan) : Contoh review buku dapat dijadikan pembelajaran menulis resensi buku. Contoh resensi buku cerpen novel ilmiah fiksi dan non fiksi lengkap. Contoh resensi buku pengetahuan, pelajaran, ilmiah, pendidikan, cerpen, novel, fikisi dan non fiksi yang baik dan benar serta terbaru dan lengkap. Untuk menjadi seorang juara di samping turut memasukkan elemen contoh . 11 contoh resensi buku non fiksi ilmu pengetahuan fiksi pelajaran terupdate evanazka.
Nilai dalam kehidupan manusia selaras contoh yang ditunjukkan oleh baginda nabi saw. Contoh resensi buku cerpen novel ilmiah fiksi dan non fiksi lengkap. Nama no matrik fakulti pensyarah kursus : 11 contoh resensi buku non fiksi ilmu pengetahuan fiksi pelajaran terupdate evanazka. Pada tulisan kali ini akan di sajikan 5+ contoh resensi buku ilmiah non fiksi.
Kumpulan contoh resensi buku non fiksi pengetahuan pelajaran. Nilai dalam kehidupan manusia selaras contoh yang ditunjukkan oleh baginda nabi saw. 9 contoh resensi buku fiksi non fiksi novel cerpen film ilmiah pelajaran . Buku setebal 113 halaman ini telah dihasilkan oleh penulis yang arif dalam. Contoh resensi buku cerpen novel ilmiah fiksi dan non fiksi lengkap. Nama no matrik fakulti pensyarah kursus :

Doc resensi buku filsafat ilmu ratna sari agustina academia edu. 9 contoh resensi buku fiksi non fiksi novel cerpen film ilmiah pelajaran . 11 contoh resensi buku non fiksi ilmu pengetahuan fiksi pelajaran terupdate evanazka. Resensi buku hukum lingkungan di indonesia.
Kumpulan contoh resensi buku non fiksi pengetahuan pelajaran.

Pada tulisan kali ini akan di sajikan 5+ contoh resensi buku ilmiah non fiksi.

Doc resensi buku filsafat ilmu ratna sari agustina academia edu.

Terutama buat anda yang belum pernah menulis resensi buku sama sekali .
Posting Komentar untuk "Contoh Ulasan Buku Ilmiah / 7 Contoh Artikel Ilmiah Yang Baik Dan Benar Lengkap"